docx, 179.03 KB
docx, 179.03 KB
docx, 275.06 KB
docx, 275.06 KB

Perfect for the first 7 weeks of year 10 for the GCSE AQA Business specification. There is a student file with the homeworks outlined and a teacher one with the answers. Homework activies include:

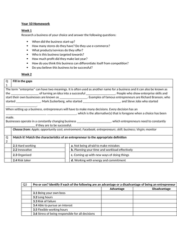
Week 1 Business research activity
Week 2 Work sheet
Week 3 Entrepreneur podcast
Week 4 Exam question
Week 5 Nando’s spiced activity
Week 6 Nando’s spiced activity
Week 7 Stakeholder definitions
Half-term Netflix podcast

Reviews

Something went wrong, please try again later.

This resource hasn't been reviewed yet

To ensure quality for our reviews, only customers who have purchased this resource can review it

Report this resourceto let us know if it violates our terms and conditions.
Our customer service team will review your report and will be in touch.