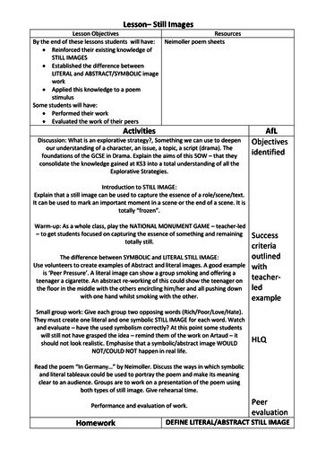
This hour-two hour workshop introduces students to literal and symbolic Still Images, for use in their GCSE Devising work. Comes with Powerpoint, resource and detailed lesson plan. Written to form part of introductory lessons for GCSE or IGCSE Drama in Year 9/10.
Get this resource as part of a bundle and save up to 46%
A bundle is a package of resources grouped together to teach a particular topic, or a series of lessons, in one place.
Something went wrong, please try again later.
This resource hasn't been reviewed yet
To ensure quality for our reviews, only customers who have purchased this resource can review it
Report this resourceto let us know if it violates our terms and conditions.
Our customer service team will review your report and will be in touch.
£2.00