Tes. For teaching.
  • International
  • Resources
    • Topical and themed
    • Pre-K and Kindergarten
    • Elementary
    • Middle school
    • High school
    • Special education
  • Education Jobs
  • Schools directory
  • News
  • Courses
  • Store
Tes for schools Log in Register for free
Resources Education Jobs Schools directory News Magazine Courses Log out Help
Home feed
My list
Courses My Jobs Job alerts My CV Career preferences Resources Author dashboard
Settings
Edit account Log out
Home Resources Jobs Schools directory News Magazine Courses Register for free Log in Help
non-loggedin user profile
Register for free
Already registered?
Log in

Education jobs

My jobs Job alerts My CV Career preferences

Resources

Downloads Saved resources Author dashboard Add resource

Courses

Access courses

News

Magazine Subscriptions Payments
About us My products Tes for schools Work for Tes

High school integration resources

Popular:

  • Advanced trigonometry
  • Algebraic manipulation
  • Binomial expansion
  • Co-ordinate geometry
  • Differentiation
  • Functions
  • Integration
  • Sequences and series
MoreLess

All Integration subjects

  • Advanced trigonometry
  • Advanced vectors
  • Algebraic manipulation
  • Binomial expansion
  • Co-ordinate geometry
  • Complex numbers
  • Conic sections
  • Differentiation
  • Exponentials and logarithms
  • Functions
  • Further functions
  • Group theory
  • Integration
  • Matrices
  • Numerical methods
  • Parametric equations
  • Roots of polynomials
  • Sequences and series

Keeping your class engaged with fun and unique teaching resources is vital in helping them reach their potential. On Tes Resources we have a range of tried and tested materials created by teachers for teachers, from pre-K through to high school.

Breathe new life into your lesson plans with our elementary, middle school and high school classroom resources. Whether you’re looking for fun math worksheets or brand new guided reading activities, we have thousands of free and premium resources for you to download. From kindergarten to elementary you’ll find K-5 resources, including phonics worksheets and numeracy games. From middle school through to high school we have everything from Spanish lessons to algebra activities, as well as Common Core-aligned lessons and revision guides for tests.

Read more
  • Resources Home
  • High School
  • Math
  • Advanced pure
  • Integration
Something in Common 24: Area between Parabolas
MrBartonMaths

Something in Common 24: Area between Parabolas

FREE
(1)
Something in Common 14: Integration Stretch
MrBartonMaths

Something in Common 14: Integration Stretch

FREE
(1)
Something in Common 6: Annulus Volume of Revolution
MrBartonMaths

Something in Common 6: Annulus Volume of Revolution

FREE
(0)
IB Standard Differentiation and Integration Revision Notes
MrCsMaths

IB Standard Differentiation and Integration Revision Notes

FREE
(5)
Grange Maths Camp Reports and Resources
aap03102

Grange Maths Camp Reports and Resources

FREE
(8)
Standard Integrals (inc proof of)
grahamcolman

Standard Integrals (inc proof of)

FREE
(0)
Video: U-substitution with ln(x) .
KhanAcademy

Video: U-substitution with ln(x) .

FREE
(0)
C3 Differentiation and Integration Puzzle
dsc505

C3 Differentiation and Integration Puzzle

FREE
(1)
The Mathematics of Woodturning
AutographMaths

The Mathematics of Woodturning

FREE
(2)
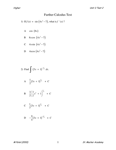
Higher Test 12 (Further Calculus)
Educ84Math

Higher Test 12 (Further Calculus)

FREE
(0)
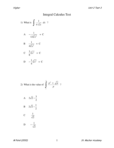
Higher Test 8 (Integral Calculus)
Educ84Math

Higher Test 8 (Integral Calculus)

FREE
(0)
AH Notes 4 (Integral Calculus)
Educ84Math

AH Notes 4 (Integral Calculus)

FREE
(1)
Page 42
14041434451

Trending Today

  • Christmas Quiz 2025
    EC_Resources

    Christmas Quiz 2025

    $4.04
    (6)
  • Christmas Quiz 2025
    ajs12345

    Christmas Quiz 2025

    $4.04
    (5)
  • NEW AQA GCSE Trilogy (2016) Biology – Classification
    SWiftScience

    NEW AQA GCSE Trilogy (2016) Biology – Classification

    $4.04
    (8)
  • Christmas Quiz
    PateResources

    Christmas Quiz

    FREE
    (87)

Latest ideas...

  • Christmas activities in humanities
  • Exploring Christmas traditions in EYFS
  • Unwrapping the history of Christmas
  • Christmas activities for MFL
  • Seasonal science lessons

Featured shops

Hectic Teacher's Shop
Hectic Teacher's Shop
Suzanne Welch Teaching Resources
Suzanne Welch Teaching Resources
NikNak's World of Science
NikNak's World of Science

Tips and insights

  • Christmas activities in humanities
  • Exploring Christmas traditions in EYFS
  • Christmas activities for MFL
  • Seasonal science lessons
Jobs home UK International Australia Primary / Elementary Secondary / High school Careers advice Tes for schools
Courses home For prospective teachers For teachers For schools For partners
Resources home Early years / Pre-K and Kindergarten Primary / Elementary Middle school Secondary / High school Whole school Special Educational Needs Blog
Store home Magazine
News Magazine New teachers Partners
Tes. For teaching. Copyright © 2025
Chat About us Corporate FAQs Contact us Privacy notice General Terms of Business Accessibility statement Fair recruitment policy Takedown Work for Tes Tes research panel Modern slavery statement Children's Privacy Notice
This website and its content is subject to our Terms and Conditions. Tes Global Ltd is registered in England (Company No 02017289) with its registered office at Building 3, St Paul’s Place, Norfolk Street, Sheffield, S1 2JE